雷達波非接觸式流速計與 SonTek SL 都卜勒音波式流量計於感潮河段量測應用
一、雷達波非接觸式流速計
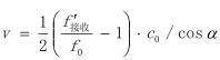
在對河流水面進行測速時,雷達流速探頭向水面發射微波,遇到水面波浪、水泡、漂浮物(被測移動目標物)後,微波將被吸收、反射,反射波的一部分被探頭接收,轉換成電信號,由測量電路處理並測出都卜勒頻移,再根據上述原理即可計算出水體的流速。由於雷達波發射方向和水流的方向通常會有一定的角度,同時發射接收需要距離往返,故需要對上述結果進行修正,修正後的實際水流速度為註:因此雷達波適合用於一般河段,難以判斷漲退之間的方向(α表示雷達波垂直方向和水平方向的夾角):
原文取自:https://kknews.cc/science/pe6gqz8.html

(圖1) 雷達波流速儀量測示意圖
微波雷達量測水面流速之機制主要係依據布拉格(Bragg)散與都普勒效應二項原理。流動之自由水面上因風力之作用或水流之紊流作用會產生微小的表面波紋,(註:所以當颱洪期間風會造成水表面流速量測的誤判)此微小波紋之波長尺度約為 1cm 至2cm 間,當水流流動時,此波將隨水體表面流移動,因此可將小波之速度視為水流之表面流速,此系統之都普勒雷達即利用微波雷達(頻率介於 10~18GHz 之 X 或 Ku 頻區間)偵測水流表面雷達回波產生布拉格(Bragg)效應,獲得水流表面毛細波之速度,即可視為水流表面流速。
取自:陳世財 (2008) 應用微波雷達表面流速儀建置自動化水位流量站之研究-以頭前溪中正橋為例 中華大學土木與工程資訊學系 碩士論文 新竹縣
河口連接海洋與河川兩個不同性質的水域,此區域之流況受到潮汐(tidal)影響(Savenije,1998; Horrevoets et al., 2004; Eliasa et al.,2006)。由於海水的潮汐週期性的往返運動,造成河川水位上升下降;且在漲潮時會造成河流逆流,退潮時則會有流速加快現象,而影響河川流量甚大。此外由於張、退潮流的作用,使得河口具有淡水和海水兩種不同密度流體之相互作用,因此,感潮河段水力特性甚為複雜(Rippethet al., 2003; Nguyen and Savenije, 2006)。河口的流量受潮汐的影響,廣泛用以推估非感潮河川之流量的水位-流量率定曲線,無法應用於感潮河段以即時且連續觀測流量(Braca,2008)。
取自:陳彥璋 等 (2017)。河口流量量測及計算方法-以淡水河口關渡橋為例 臺灣水利65(4),41-64
二、SonTek SL ADP 都卜勒音波式流量監測系統
SonTek SL-ADP 測向式都卜勒音波式流量監測系統,將其應用於感潮河段,於2005年美國地質調查協會(USGS)就已經發表,將指標流速標準作業方法配合SL-ADP量測感潮河段流量作為長期固定的流量觀測站。且長期利用即時走測試ADP 與SL-ADP進行流速、流量率定曲線校驗(資料網站:https://pubs.er.usgs.gov/publication/ofr20101169 )。

(圖2) USGS於薩凡納河河口感潮河段,常流量及洪峰時期率定曲線
SonTek SL-ADP量測是利用都卜勒效應的原理,透過音波對水中漂動懸浮粒子的反射,來換算出水流的方向及速度:

(圖3) 都卜勒量測方式因子及其原理
SonTek SL-ADP應用於開放式感潮渠道,的優勢有:
Ø 集合了流速、流向、水位、流量和總體積,等參數的多功能觀測儀器。近20年以上USGS的原理驗證、修整,最後由明訂的標準作業方式把關,得到精確可信賴的量測資料。
Ø 高智慧的內部運算方式,透過流速、水深、地形面積及紊流程度。自動變頻調控,已得到最合適的頻率及量測單元(cells)。最多可將量測的水平橫斷面,細分成128單元。
Ø 透過音波與壓力式雙水位計的功能,實時的音波與壓力比對校正,水位不受大氣壓力的影響。
Ø 內建水深地形斷面設定頁面,可將量測的水深地形數據,直接輸入並透過軟體計算呈現通水斷面積數據。配合可輸入的多階層率定曲線及SL-ADP的感測器,即時將流量匯出。

(圖4) SonTek SL-ADP 關鍵感測器位置

(圖5) 2010 9月19日凡娜比颱風當時於高雄林邊大排實際量測到的數據。流速正值代表為退潮方向,因上游雨量及大排附近的養殖戶強力換水,可以看出就算退潮水位還是居高不下。因此當有流向加上水位的數據,就可以判斷感潮區域中的排水系統,在洪峰期間水的來源,以有效發揮閘門功用。
三、現場案例
|
|
|
|
高雄市愛河即時流量觀測站 |
淡水河關渡橋下游流量觀測站 |
|
|
|
|
屏東大鵬灣近流口即時流量流速站 |
台南鹽水溪底碇方式佈放 |




